Featured
- Get link
- X
- Other Apps
Composition Of Functions Calculator
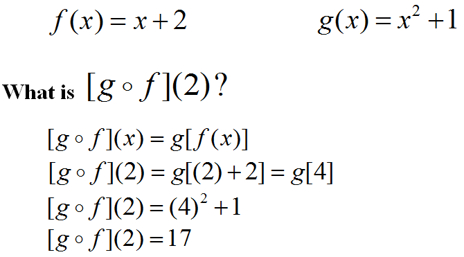
Composition Of Functions Calculator. Now, (f ∘ g) (x) can be written as f [g (x)]. The step involved is similar when a function is being evaluated for a given value.

The notation for function composition is h = f • g or h (x) = (f • g) (x) and is read as 'f of g of x'. We apply the function g to the input x and obtain the result g ( x) as the output. For example, a function f (x) f ( x) that is defined for real values x x in r r has domain r r, and is sometimes said to be a function over the reals. the set of values to which d d is sent by the function is.
Chain Rule Calculator Is An Online Tool Which Helps You To Find The Derivatives Of Composition Of Two Functions.
The notation for function composition is h = f • g or h (x) = (f • g) (x) and is read as 'f of g of x'. We apply the function g to the input x and obtain the result g ( x) as the output. The calculator has two inputs:
If We Are Given Two Functions, It Is Possible To Create Or Generate A “New” Function By Composing One Into The Other.
Then also make sure that g(x) gets the correct domain In general, f ∘ g and g ∘ f are different functions. One for function f and a second one for function g.
How To Evaluate Function Composition.
Highly useful composite function calculator. You can evaluate the composition of differentiable functions in terms of its derivatives. To perform the composition of functions you only need to perform the following steps:
To Obtain The Composite Function Fg (X) From Known Functions F (X) And G (X).
The inside function is the input for the outside function. First write the given composition in a different way. F (x) = y ⇔ f − 1 (y) = x.
Now, (F ∘ G) (X) Can Be Written As F [G (X)].
The domain of a function, d d, is most commonly defined as the set of values for which a function is defined. Home > algebra calculators > composite functions and evaluating functions fog(x), f(2) calculator method and examples composite functions and evaluating functions : The composition of two functions:
Popular Posts
How To Calculate Gaussian Kernel Matrix
- Get link
- X
- Other Apps
How To Calculate Life Expectancy From Life Table
- Get link
- X
- Other Apps
Comments
Post a Comment