Skip to main content

Featured

Wholesale Supplies Plus Batch Calculator

Wholesale Supplies Plus Batch Calculator . Source high quality products in. Print this article (enlarge image) many people are given a formula based on percentages. 12 Digits Display Desktop Calculator with 6 Inch LCD Writing Tablet from www.shoppingsquare.com.au Wholesale supplies plus batch calculator. Results show the balance of the formula. Insert your recipe in percentages and set the batch size.

Calculating Final Velocity After Collision


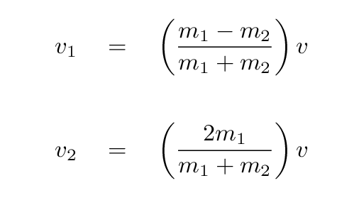
Calculating Final Velocity After Collision. Perfect elastic collision / no final velocity given. Another car of mass 120 kg is moving with velocity 100 m/s.

How is linear momentum conserved in elastic collision? Quora
How is linear momentum conserved in elastic collision? Quora from www.quora.com

Using similar algebra steps to solve for the final velocity of the club head yields: Calculating angular velocity after collision; Calculating the acceleration when the final velocity, the initial velocity and the time is given.

Find The Acceleration When The Final Velocity Is 50, The Initial Velocity Is 24 And The Time Is 12.


The elasticity of a ball (e) is equal to the proportion of the velocity before collision to the velocity after collision. Let the mass and initial velocity of the stationary car be m2 and u2. The ball changes direction after the collision, so we must take its final velocity as negative.

What Will Be The Final Velocity Of Second Car After Collision?


The mass of the moving object is increased. After collisions velocity 1 = after collisions velocity 2 = ★★★★★ [ 4 votes ] physics calculators. Therefore, the final momentum, pf, must equal the combined mass of the two players multiplied by their final velocity, (m1+m2)vf, which gives you the following equation:

Perfect Elastic Collision / No Final Velocity Given.


Let us consider a car with mass 100 kg is moving with velocity 80 m/s. * please enter 0 for completely inelastic collision and 1 for elastic collisions. Mass and velocity are inversely related in the formula for momentum, which is conserved in collisions.

After The Hit, The Players Tangle Up And Move With The Same Final Velocity.


The case you're describing is called an inelastic collision. For a computational simulation, a good solution is to run a molecular dynamics simulation with a simple algorithm such as the verlet algorithm, which is an approximated implementation of the classical equations of motion (using taylor expansions to a certain order) which work well computationally.the verlet algorithm is often used in academic research to. So, we can find the momentum after collision using the impulse formula, laws of conservation of momentum, and conservation of energy.

(M 1 + M 2)V F = M 1 V I 1.


Solving for v f gives you the equation for their final velocity: This suggests that the result is reasonable. Take a look at the conservation of linear momentum and loss of kinetic energy in an.


Comments

Popular Posts